Notice
Recent Posts
Recent Comments
Link
| 일 | 월 | 화 | 수 | 목 | 금 | 토 |
|---|---|---|---|---|---|---|
| 1 | 2 | 3 | 4 | 5 | 6 | |
| 7 | 8 | 9 | 10 | 11 | 12 | 13 |
| 14 | 15 | 16 | 17 | 18 | 19 | 20 |
| 21 | 22 | 23 | 24 | 25 | 26 | 27 |
| 28 | 29 | 30 | 31 |
Tags
- 나는 리뷰어다
- 입문
- 협업필터링
- 코딩테스트
- TEAM-EDA
- Segmentation
- 파이썬
- 나는리뷰어다
- Semantic Segmentation
- Image Segmentation
- 한빛미디어
- Python
- eda
- 스택
- 프로그래머스
- 엘리스
- pytorch
- 알고리즘
- Object Detection
- Machine Learning Advanced
- TEAM EDA
- MySQL
- hackerrank
- 튜토리얼
- 큐
- Recsys-KR
- 3줄 논문
- DilatedNet
- 추천시스템
- DFS
Archives
- Today
- Total
TEAM EDA
[파이토치로 시작하는 딥러닝 기초] 2.5 Dropout 본문
이번 글에서는 Overfitting과 Dropout에 대해서 배워보도록 하겠습니다. 이번 글은 EDWITH에서 진행하는 파이토치로 시작하는 딥러닝 기초를 토대로 하였고 같이 스터디하는 팀원분들의 자료를 바탕으로 작성하였습니다.
목차
- Overfitting
- Regularization
- Dropout
- Code : mnist_nn_dropout
1. Overfitting
- 과도하게 현재 데이터에 대해 모델을 learning을 한 경우. 즉, Training data에 대해 acc는 높지만 Test data에 대해 acc는 낮은 현상
- 해결
- training data를 늘린다.
- features의 수를 줄인다. (차원의 저주를 피하기 위함)
- Regularization
- Dropout

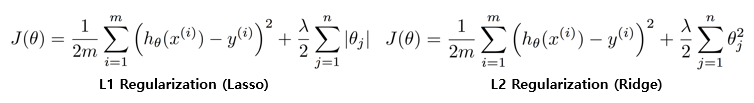
2. Regularization
- 데이터에 모델이 너무 오버피팅되어서, 이후 새로운 데이터에 일반적으로 들어맞도록 하는 방법
- 기존 Cost function 뒤에 Regularization Term을 추가해줌으로써 파라미터의 영향을 덜 받게 함
- 방법으로는 L1, L2 Regularization이 있다.

L1 Regularization (Lasso)
- Feature selection : 파라미터의 값을 0으로 보내기에 변수 제거의 효과가 있음
- 영향을 크게 미치는 핵심적인 피처들만 반영
L2 Regularization (Ridge)
- 전체적으로 파라미터의 값이 작아지도록 함

3. Dropout
- 일부 파라미터를 학습에 반영하지 않음으로써 모델을 일반화하는 방법
- 주의 : Train시에는 Dropout을 적용해야 하지만 Validation, Test에는 적용하면 안됨

4. Code : mnist_nn_dropout
dropout = torch.nn.Dropout(p=drop_prob)
# Lab 10 MNIST and softmax
import torch
import torchvision.datasets as dsets
import torchvision.transforms as transforms
import random
device = 'cuda' if torch.cuda.is_available() else 'cpu'
# for reproducibility
random.seed(777)
torch.manual_seed(777)
if device == 'cuda':
torch.cuda.manual_seed_all(777)
# parameters
learning_rate = 0.001
training_epochs = 15
batch_size = 100
drop_prob = 0.3
# MNIST dataset
mnist_train = dsets.MNIST(root='MNIST_data/',
train=True,
transform=transforms.ToTensor(),
download=True)
mnist_test = dsets.MNIST(root='MNIST_data/',
train=False,
transform=transforms.ToTensor(),
download=True)
# dataset loader
# drop_last=True : 불완전한 마지막 셔플을 학습에 참여하지 않게 하는 것
data_loader = torch.utils.data.DataLoader(dataset=mnist_train,
batch_size=batch_size,
shuffle=True,
drop_last=True)
# nn layers
linear1 = torch.nn.Linear(784, 512, bias=True)
linear2 = torch.nn.Linear(512, 512, bias=True)
linear3 = torch.nn.Linear(512, 512, bias=True)
linear4 = torch.nn.Linear(512, 512, bias=True)
linear5 = torch.nn.Linear(512, 10, bias=True)
relu = torch.nn.ReLU()
dropout = torch.nn.Dropout(p=drop_prob)
# xavier initialization
torch.nn.init.xavier_uniform_(linear1.weight)
torch.nn.init.xavier_uniform_(linear2.weight)
torch.nn.init.xavier_uniform_(linear3.weight)
torch.nn.init.xavier_uniform_(linear4.weight)
torch.nn.init.xavier_uniform_(linear5.weight)
# model
model = torch.nn.Sequential(linear1, relu, dropout,
linear2, relu, dropout,
linear3, relu, dropout,
linear4, relu, dropout,
linear5).to(device)
# define cost/loss & optimizer
criterion = torch.nn.CrossEntropyLoss().to(device) # Softmax is internally computed.
optimizer = torch.optim.Adam(model.parameters(), lr=learning_rate)
total_batch = len(data_loader)
model.train() # set the model to train mode (dropout=True)
for epoch in range(training_epochs):
avg_cost = 0
for X, Y in data_loader:
# reshape input image into [batch_size by 784]
# label is not one-hot encoded
X = X.view(-1, 28 * 28).to(device)
Y = Y.to(device)
optimizer.zero_grad()
hypothesis = model(X)
cost = criterion(hypothesis, Y)
cost.backward()
optimizer.step()
avg_cost += cost / total_batch
print('Epoch:', '%04d' % (epoch + 1), 'cost =', '{:.9f}'.format(avg_cost))
print('Learning finished')
# Test model and check accuracy
with torch.no_grad():
model.eval() # set the model to evaluation mode (dropout=False)
# Test the model using test sets
X_test = mnist_test.test_data.view(-1, 28 * 28).float().to(device)
Y_test = mnist_test.test_labels.to(device)
prediction = model(X_test)
correct_prediction = torch.argmax(prediction, 1) == Y_test
accuracy = correct_prediction.float().mean()
print('Accuracy:', accuracy.item())
# Get one and predict
r = random.randint(0, len(mnist_test) - 1)
X_single_data = mnist_test.test_data[r:r + 1].view(-1, 28 * 28).float().to(device)
Y_single_data = mnist_test.test_labels[r:r + 1].to(device)
print('Label: ', Y_single_data.item())
single_prediction = model(X_single_data)
print('Prediction: ', torch.argmax(single_prediction, 1).item())
'EDA Study > PyTorch' 카테고리의 다른 글
| [파이토치로 시작하는 딥러닝 기초] 3.1 Convolution Neural Network (0) | 2020.03.21 |
|---|---|
| [파이토치로 시작하는 딥러닝 기초] 2.6 Batch Normalization (0) | 2020.03.20 |
| [파이토치로 시작하는 딥러닝 기초] 2.4 Weight initialization (0) | 2020.03.20 |
| [파이토치로 시작하는 딥러닝 기초] 2.3 ReLU (0) | 2020.03.20 |
| [파이토치로 시작하는 딥러닝 기초] 2.1~2 Perceptron, Multi Layer Perceptron (0) | 2020.03.20 |